算法刷题周记04
岛屿数量(题号:200)
给你一个由 '1'(陆地)和 '0'(水)组成的的二维网格,请你计算网格中岛屿的数量。
岛屿总是被水包围,并且每座岛屿只能由水平方向和/或竖直方向上相邻的陆地连接形成。
此外,你可以假设该网格的四条边均被水包围。
示例 1:
输入:grid = [
["1","1","1","1","0"],
["1","1","0","1","0"],
["1","1","0","0","0"],
["0","0","0","0","0"]
]
输出:1
示例 2:
输入:grid = [
["1","1","0","0","0"],
["1","1","0","0","0"],
["0","0","1","0","0"],
["0","0","0","1","1"]
]
输出:3
解法(DFS)
class Solution
{
public:
bool inArea(vector> &grid, int r, int c)
{
return 0 <= r && r < grid.size() && 0 <= c && c < grid[0].size();
}
void dfs(vector> &grid, int r, int c)
{
if (!inArea(grid, r, c))
{
return;
}
if (grid[r][c] != '1')
{
return;
}
grid[r][c] = '2';
dfs(grid, r - 1, c);
dfs(grid, r + 1, c);
dfs(grid, r, c - 1);
dfs(grid, r, c + 1);
}
int numIslands(vector> &grid)
{
int res = 0;
for (int r = 0; r < grid.size(); r++)
{
for (int c = 0; c < grid[0].size(); c++)
{
if (grid[r][c] == '1')
{
dfs(grid,r,c);
res++;
}
}
}
return res;
}
};
子树中标签相同的节点数(题号:1519)
给你一棵树(即,一个连通的无环无向图),这棵树由编号从 0 到 n - 1 的 n 个节点组成,且恰好有 n - 1 条 edges 。树的根节点为节点 0 ,树上的每一个节点都有一个标签,也就是字符串 labels 中的一个小写字符(编号为 i 的 节点的标签就是 labels[i] )
边数组 edges 以 edges[i] = [ai, bi] 的形式给出,该格式表示节点 ai 和 bi 之间存在一条边。
返回一个大小为 n 的数组,其中 ans[i] 表示第 i 个节点的子树中与节点 i 标签相同的节点数。
树 T 中的子树是由 T 中的某个节点及其所有后代节点组成的树。
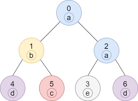
示例 1:

输入:n = 7, edges = [[0,1],[0,2],[1,4],[1,5],[2,3],[2,6]], labels = "abaedcd"
输出:[2,1,1,1,1,1,1]
解释:节点 0 的标签为 'a' ,以 'a' 为根节点的子树中,节点 2 的标签也是 'a' ,因此答案为 2 。注意树中的每个节点都是这棵子树的一部分。
节点 1 的标签为 'b' ,节点 1 的子树包含节点 1、4 和 5,但是节点 4、5 的标签与节点 1 不同,故而答案为 1(即,该节点本身)。
示例 2:

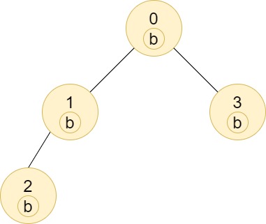
输入:n = 4, edges = [[0,1],[1,2],[0,3]], labels = "bbbb"
输出:[4,2,1,1]
解释:节点 2 的子树中只有节点 2 ,所以答案为 1 。
节点 3 的子树中只有节点 3 ,所以答案为 1 。
节点 1 的子树中包含节点 1 和 2 ,标签都是 'b' ,因此答案为 2 。
节点 0 的子树中包含节点 0、1、2 和 3,标签都是 'b',因此答案为 4 。
示例 3:

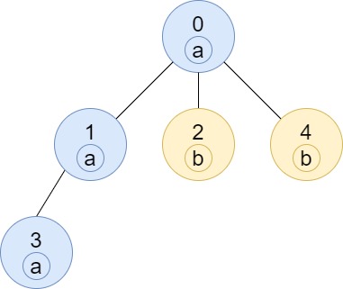
输入:n = 5, edges = [[0,1],[0,2],[1,3],[0,4]], labels = "aabab"
输出:[3,2,1,1,1]
提示:
- 1 <= n <= 10^5
- edges.length == n - 1
- edges[i].length == 2
- 0 <= ai, bi < n
- ai != bi
- labels.length == n
- labels 仅由小写英文字母组成
解法(深度优先遍历)
class Solution {
String labels;
private List<Integer>[] adjacentNode;//邻接表,存放每个节点的父节点与所有子节点
int[][] counts;
/**
*
* @param n 节点数
* @param edges 所有边
* @param labels 所有结点对应的标签值
* @return
*/
public int[] countSubTrees(int n, int[][] edges, String labels) {
this.labels = labels;
adjacentNode = new List[n];
for (int i = 0; i < n; i++) {
adjacentNode[i] = new ArrayList<Integer>();
}
for (int[] edge : edges) {
// 父节点 / 子结点
int node0 = edge[0],node1 = edge[1];
adjacentNode[node0].add(node1);
adjacentNode[node1].add(node0);
}
counts = new int[n][26];// 记录标签值(26个字母)
postOrder(0,-1);// 从根节点开始后续遍历
int[] ans = new int[n];
for (int i = 0; i < n; i++) {
char c = labels.charAt(i);
ans[i] = counts[i][c - 'a'];
}
return ans;
}
/**
*
* @param node 当前节点
* @param parent 父节点
*/
public void postOrder(int node,int parent){
char c = labels.charAt(node);
List<Integer> adjacent = adjacentNode[node];
for (Integer next : adjacent) { // 对于每个节点的邻接点
if (next == parent){
continue;
}
postOrder(next,node);
// 给每个节点记录标签值 本身+其子节点的标签值
for (int i = 0; i < 26; i++) {
counts[node][i] += counts[next][i];//子结点的标签值
}
}
counts[node][c - 'a']++;// 本身结点的值
}
}
两数之和II - 输入有序数组(题号:167)
给你一个下标从 1 开始的整数数组 numbers ,该数组已按 非递减顺序排列 ,请你从数组中找出满足相加之和等于目标数 target 的两个数。如果设这两个数分别是 numbers[index1] 和 numbers[index2] ,则 1 <= index1 < index2 <= numbers.length 。
以长度为 2 的整数数组 [index1, index2] 的形式返回这两个整数的下标 index1 和 index2。
你可以假设每个输入 只对应唯一的答案 ,而且你 不可以 重复使用相同的元素。
你所设计的解决方案必须只使用常量级的额外空间。
示例 1:
输入:numbers = [2,7,11,15], target = 9
输出:[1,2]
解释:2 与 7 之和等于目标数 9 。因此 index1 = 1, index2 = 2 。返回 [1, 2] 。
示例 2:
输入:numbers = [2,3,4], target = 6
输出:[1,3]
解释:2 与 4 之和等于目标数 6 。因此 index1 = 1, index2 = 3 。返回 [1, 3] 。
示例 3:
输入:numbers = [-1,0], target = -1
输出:[1,2]
解释:-1 与 0 之和等于目标数 -1 。因此 index1 = 1, index2 = 2 。返回 [1, 2] 。
提示:
- 2 <= numbers.length <= 3 * 104
- -1000 <= numbers[i] <= 1000
- numbers 按 非递减顺序 排列
- -1000 <= target <= 1000
- 仅存在一个有效答案
解法(二分)
class Solution {
public:
vector twoSum(vector& numbers, int target) {
int len = numbers.size();
int left = 0,right = len - 1;
int sum = 0;
while(left < right)
{
sum = numbers[left] + numbers[right];
if(sum == target){
break;
}
if(sum < target){
left++;
}else{
right--;
}
}
return vector {1+left,1+right};
}
};
翻转对(题号:493)
给定一个数组 nums ,如果 i < j 且 nums[i] > 2*nums[j] 我们就将 (i, j) 称作一个***重要翻转对***。
你需要返回给定数组中的重要翻转对的数量。
示例1:
输入: [1,3,2,3,1]
输出: 2
示例 2:
输入: [2,4,3,5,1]
输出: 3
解法(归并排序)
class Solution {
public int reversePairsRecursive(int[] nums, int left, int right){
if (left == right){
return 0;
}else{
int mid = (left + right) / 2;
int n1 = reversePairsRecursive(nums,left,mid);
int n2 = reversePairsRecursive(nums,mid + 1, right);
int ret = n1 + n2;
// 统计下标对的数量
int i = left;
int j = mid + 1;
while (i <= mid)
{
while (j <= right && (long) nums[i] > 2 * (long)nums[j])
{
j++;
}
ret += j - mid - 1;
i++;
}
// 合并两个数组
int[] sort = new int[right - left + 1];
int p1 = left,p2 = mid + 1;
int p = 0;
while (p1 <= mid || p2 <= right)
{
if (p1 > mid)
{
sort[p++] = nums[p2++];
}else if(p2 > right){
sort[p++] = nums[p1++];
}else {
if (nums[p1] < nums[p2]){
sort[p++] = nums[p1++];
}else{
sort[p++] = nums[p2++];
}
}
}
for (int k = 0; k < sort.length; k++) {
nums[left + k] = sort[k];
}
return ret;
}
}
int reversePairs(int[] nums){
if (nums.length == 0)return 0;
return reversePairsRecursive(nums,0,nums.length - 1);
}
}